ZVI 2002, 341
Neufassung der BGB-Informationspflichten-Verordnung
Verordnung über Informations- und Nachweispflichten nach bürgerlichem Recht (BGB-Informationspflichten-Verordnung – BGB-InfoV)1
Abschnitt 1 – Informationspflichten bei Verbraucherverträgen
§ 1 Informationspflichten bei Fernabsatzverträgen
- 1. seine Identität,
- 2. seine ladungsfähige Anschrift,
- 3. wesentliche Merkmale der Ware oder Dienstleistung sowie darüber, wie der Vertrag zustande kommt,
- 4. die Mindestlaufzeit des Vertrags, wenn dieser eine dauernde oder regelmäßig wiederkehrende Leistung zum Inhalt hat,
- 5. einen Vorbehalt, eine in Qualität und Preis gleichwertige Leistung (Ware oder Dienstleistung) zu erbringen, und einen Vorbehalt, die versprochene Leistung im Fall ihrer Nichtverfügbarkeit nicht zu erbringen,
- 6. den Preis der Ware oder Dienstleistung einschließlich aller Steuern und sonstiger Preisbestandteile,
- 7. gegebenenfalls zusätzlich anfallende Liefer- und Versandkosten,
- 8. Einzelheiten hinsichtlich der Zahlung und der Lieferung oder Erfüllung,
- 9. das Bestehen eines Widerrufs- oder Rückgaberechts,
- 10. Kosten, die dem Verbraucher durch die Nutzung der Fernkommunikationsmittel entstehen, sofern sie über die üblichen Grundtarife, mit denen der Verbraucher rechnen muss, hinausgehen und
- 11. die Gültigkeitsdauer befristeter Angebote, insbesondere hinsichtlich des Preises.
- 1. Informationen über die Bedingungen, Einzelheiten der Ausübung und Rechtsfolgen des Widerrufs- oder Rückgaberechts sowie über den Ausschluss des Widerrufs- oder Rückgaberechts,
- 2. die Anschrift der Niederlassung des Unternehmers, bei der der Verbraucher Beanstandungen vorbringen kann, sowie eine ladungsfähige Anschrift des Unternehmers und bei juristischen Personen, Personenvereinigungen oder -gruppen auch den Namen eines Vertretungsberechtigten,
- 3. Informationen über Kundendienst und geltende Gewährleistungs- und Garantiebedingungen und
- 4. die Kündigungsbedingungen bei Verträgen, die ein Dauerschuldverhältnis betreffen und für eine längere Zeit als ein Jahr oder für unbestimmte Zeit geschlossen werden.
§ 2 Informationspflichten bei und Vertragsinhalt von Teilzeit-Wohnrechteverträgen
- 1. Namen und Sitz einschließlich ladungsfähiger Anschrift des das Nutzungsrecht anbietenden Unternehmers und des Eigentümers des Wohngebäudes oder der Wohngebäude, bei Gesellschaften, Vereinen und juristischen Personen auch Firma und Namen des gesetzlichen Vertreters, sowie rechtliche Stellung des Unternehmers in Bezug auf das oder die Wohngebäude,
- 2. die genaue Beschreibung des Nutzungsrechts nebst Hinweis auf die erfüllten oder noch zu erfüllenden Voraussetzungen, die nach dem Recht des Staates, in dem das Wohngebäude belegen ist, für die Ausübung des Nutzungsrechts gegeben sein müssen,
- 3. dass der Verbraucher kein Eigentum und kein dingliches Wohn-/Nutzungsrecht erwirbt, sofern dies tatsächlich nicht der Fall ist,
- 4. eine genaue Beschreibung des Wohngebäudes und seiner Belegenheit, sofern sich das Nutzungsrecht auf ein bestimmtes Wohngebäude bezieht,
- 5. bei einem in Planung oder im Bau befindlichen Wohngebäude, sofern sich das Nutzungsrecht auf ein bestimmtes Wohngebäude bezieht,
- a) Stand der Bauarbeiten und der Arbeiten an den gemeinsamen Versorgungseinrichtungen wie zum Beispiel Gas-, Elektrizitäts-, Wasser- und Telefonanschluss,
- b) eine angemessene Schätzung des Termins für die Fertigstellung,
- c) Namen und Anschrift der zuständigen Baugenehmigungsbehörde und Aktenzeichen der Baugenehmigung; soweit nach Landesrecht eine Baugenehmigung nicht erforderlich ist, ist der Tag anzugeben, an dem nach landesrechtlichen Vorschriften mit dem Bau begonnen werden darf,
- d) ob und welche Sicherheiten für die Fertigstellung des Wohngebäudes und für die Rückzahlung vom Verbraucher geleisteter Zahlungen im Fall der Nichtfertigstellung bestehen,
- 6. Versorgungseinrichtungen wie zum Beispiel Gas-, Elektrizitäts-, Wasser- und Telefonanschluss und Dienstleistungen wie zum Beispiel Instandhaltung und Müllabfuhr, die dem Verbraucher zur Verfügung stehen oder stehen werden, und ihre Nutzungsbedingungen,
- 7. gemeinsame Einrichtungen wie Schwimmbad oder Sauna, zu denen der Verbraucher Zugang hat oder erhalten soll, und gegebenenfalls ihre Nutzungsbedingungen,
- 8. die Grundsätze, nach denen Instandhaltung, Instandsetzung, Verwaltung und Betriebsführung des Wohngebäudes oder der Wohngebäude erfolgen,
- 9. den Preis, der für das Nutzungsrecht zu entrichten ist, die Berechnungsgrundlagen und den geschätzten Betrag der laufenden Kosten, die vom Verbraucher für die in den Nummern 6 und 7 genannten Einrichtungen und Dienstleistungen sowie für die Nutzung des jeweiligen Wohngebäudes, insbesondere für Steuern und Abgaben, Verwaltungsaufwand, Instandhaltung, Instandsetzung und Rücklagen zu entrichten sind, und
- 10. ob der Verbraucher an einer Regelung für den Umtausch und/oder die Weiterveräußerung des Nutzungsrechts in seiner Gesamtheit oder für einen bestimmten Zeitraum teilnehmen kann und welche Kosten hierfür anfallen, falls der Unternehmer oder ein Dritter einen Umtausch und/oder die Weiterveräußerung vermittelt.
- 1. einen Hinweis auf das Recht des Verbrauchers zum Widerruf gemäß den §§ 485, 355 des Bürgerlichen Gesetzbuchs, Namen und ladungsfähige Anschrift desjenigen, gegenüber dem der Widerruf zu erfolgen hat, einen Hinweis auf die Widerrufsfrist und die Form der Widerrufserklärung sowie darauf, dass die Widerrufsfrist durch rechtzeitige Absendung der Widerrufserklärung gewahrt wird; gegebenenfalls muss der Prospekt auch die Kosten angeben, die der Verbraucher im Fall des Widerrufs in Übereinstimmung mit § 485 Abs. 5 Satz 2 des Bürgerlichen Gesetzbuchs zu erstatten hat,
- 2. einen Hinweis, wie weitere Informationen zu erhalten sind.
- 1. Namen und Wohnsitz des Verbrauchers,
- 2. die genaue Bezeichnung des Zeitraums des Jahres, innerhalb dessen das Nutzungsrecht jeweils ausgeübt werden kann, die Geltungsdauer des Nutzungsrechts nach Jahren und die weiteren für die Ausübung des Nutzungsrechts erforderlichen Einzelheiten,
- 3. die Erklärung, dass der Erwerb und die Ausübung des Nutzungsrechts mit keinen anderen als den im Vertrag angegebenen Kosten, Lasten oder Verpflichtungen verbunden sind,
Abschnitt 2 – Informationspflichten bei Verträgen im elektronischen Geschäftsverkehr
§ 3 Kundeninformationspflichten des Unternehmers bei Verträgen im elektronischen Geschäftsverkehr
- 1. über die einzelnen technischen Schritte, die zu einem Vertragsschluss führen,
- 2. darüber, ob der Vertragstext nach dem Vertragsschluss von dem Unternehmer gespeichert wird und ob er dem Kunden zugänglich ist,
- 3. darüber, wie er mit den gemäß § 312e Abs. 1 Satz 1 Nr. 1 des Bürgerlichen Gesetzbuchs zur Verfügung gestellten technischen Mitteln Eingabefehler vor Abgabe der Bestellung erkennen und berichtigen kann,
- 4. über die für den Vertragsschluss zur Verfügung stehenden Sprachen und
- 5. über sämtliche einschlägigen Verhaltenskodizes, denen sich der Unternehmer unterwirft, sowie die Möglichkeit eines elektronischen Zugangs zu diesen Regelwerken.
Abschnitt 3 – Informations- und Nachweispflichten von Reiseveranstaltern
§ 4 Prospektangaben
- 1. Bestimmungsort,
- 2. Transportmittel (Merkmale und Klasse),
- 3. Unterbringung (Art, Lage, Kategorie oder Komfort und Hauptmerkmale sowie soweit vorhanden ihre Zulassung und touristische Einstufung),
- 4. Mahlzeiten,
- 5. Reiseroute,
- 6. Pass- und Visumerfordernisse für Angehörige des Mitgliedstaates, in dem die Reise angeboten wird, sowie über gesundheitspolizeiliche Formalitäten, die für die Reise und den Aufenthalt erforderlich sind,
- 7. eine für die Durchführung der Reise erforderliche Mindestteilnehmerzahl sowie die Angabe, bis zu welchem Zeitpunkt vor dem vertraglich vereinbarten Reisebeginn dem Reisenden die Erklärung spätestens zugegangen sein muss, dass die Teilnehmerzahl nicht erreicht und die Reise nicht durchgeführt wird.
§ 5 Unterrichtung vor Vertragsschluss
- 1. Pass- und Visumerfordernisse, insbesondere über die Fristen zur Erlangung dieser Dokumente; diese Verpflichtung bezieht sich auf die Erfordernisse für Angehörige des Mitgliedstaates, in dem die Reise angeboten wird,
- 2. gesundheitspolizeiliche Formalitäten,
§ 6 Reisebestätigung, Allgemeine Reisebedingungen
- 1. endgültiger Bestimmungsort oder, wenn die Reise mehrere Aufenthalte umfasst, die einzelnen Bestimmungsorte sowie die einzelnen Zeiträume und deren Termine,
- 2. Tag, voraussichtliche Zeit und Ort der Abreise und Rückkehr,
- 3. Besuche, Ausflüge und sonstige im Reisepreis inbegriffene Leistungen,
- 4. Hinweise auf etwa vorbehaltene Preisänderungen sowie deren Bestimmungsfaktoren (§ 651a Abs. 4 des Bürgerlichen Gesetzbuchs) und auf nicht im Reisepreis enthaltene Abgaben,
- 5. vereinbarte Sonderwünsche des Reisenden,
- 6. Namen und ladungsfähige Anschrift des Reiseveranstalters,
- 7. über die Obliegenheit des Reisenden, dem Reiseveranstalter einen aufgetretenen Mangel anzuzeigen, sowie darüber, dass vor der Kündigung des Reisevertrags (§ 651e des Bürgerlichen Gesetzbuchs) dem Reiseveranstalter eine angemessene Frist zur Abhilfeleistung zu setzen ist, wenn nicht die Abhilfe unmöglich ist oder vom Reiseveranstalter verweigert wird oder wenn die sofortige Kündigung des Vertrags durch ein besonderes Interesse des Reisenden gerechtfertigt wird,
- 8. über die nach § 651g des Bürgerlichen Gesetzbuchs einzuhaltenden Fristen, unter namentlicher Angabe der Stelle, gegenüber der Ansprüche geltend zu machen sind,
- 9. über den möglichen Abschluss einer Reiserücktrittskostenversicherung oder einer Versicherung zur Deckung der Rückführungskosten bei Unfall oder Krankheit unter Angabe von Namen und Anschrift des Versicherers.
§ 7 Verträge über Gastschulaufenthalte (§ 6511 des Bürgerlichen Gesetzbuchs)
- 1. Namen und Anschrift der Gastfamilie, in welcher der Schüler oder die Schülerin untergebracht ist, einschließlich von Veränderungen,
- 2. Namen und Erreichbarkeit eines Ansprechpartners im Aufnahmeland, bei dem auch Abhilfe verlangt werden kann, einschließlich von Veränderungen und
§ 8 Unterrichtung vor Beginn der Reise
- 1. über Abfahrt und Ankunftszeiten, Orte von Zwischenstationen und die dort zu erreichenden Anschlussverbindungen,
- 2. wenn der Reisende bei der Beförderung einen bestimmten Platz einzunehmen hat, über diesen Platz,
- 3. über Namen, Anschrift und Telefonnummer der örtlichen Vertretung des Reiseveranstalters oder wenn nicht vorhanden der örtlichen Stellen, die dem Reisenden bei Schwierigkeiten Hilfe leisten können; wenn auch solche Stellen nicht bestehen, sind dem Reisenden eine Notrufnummer und sonstige Angaben mitzuteilen, mit deren Hilfe er mit dem Veranstalter Verbindung aufnehmen kann.
§ 9 Muster für den Sicherungsschein
§ 10 Nachweis nach § 651k Abs. 5 des Bürgerlichen Gesetzbuchs
§ 11 Gelegenheitsreiseveranstalter
Abschnitt 4 – Informationspflichten von Kreditinstituten
§ 12 Kundeninformationspflichten von Kreditinstituten
- 1. vor Ausführung einer Überweisung
- a) Beginn und Länge der Zeitspanne, die erforderlich ist, bis bei der Ausführung eines mit dem Kreditinstitut geschlossenen Überweisungsvertrags der Überweisungsbetrag dem Konto des Kreditinstituts des Begünstigten gutgeschrieben wird,
- b) die Zeitspanne, die bei Eingang einer Überweisung erforderlich ist, bis der dem Konto des Kreditinstituts gutgeschriebene Betrag dem Konto des Begünstigten gutgeschrieben wird,
- c) die Berechnungsweise und die Sätze aller vom Kunden an das Kreditinstitut zu zahlenden Entgelte und Auslagen,
- d) gegebenenfalls das von dem Kreditinstitut zugrunde gelegte Wertstellungsdatum,
- e) die den Kunden zur Verfügung stehenden Beschwerde und Abhilfeverfahren sowie die Einzelheiten ihrer Inanspruchnahme,
- f) die bei der Umrechnung angewandten Referenzkurse,
- 2. nach Ausführung der Überweisung
- a) eine Bezugsangabe, anhand derer der Überweisende die Überweisung bestimmen kann,
- b) den Überweisungsbetrag,
- c) den Betrag sämtlicher vom Überweisenden zu zahlenden Entgelte und Auslagen,
- d) gegebenenfalls das von dem Kreditinstitut zugrunde gelegte Wertstellungsdatum.
§ 13 Betroffene Überweisungen
Abschnitt 5 – Belehrung über Widerrufs- und Rückgaberecht
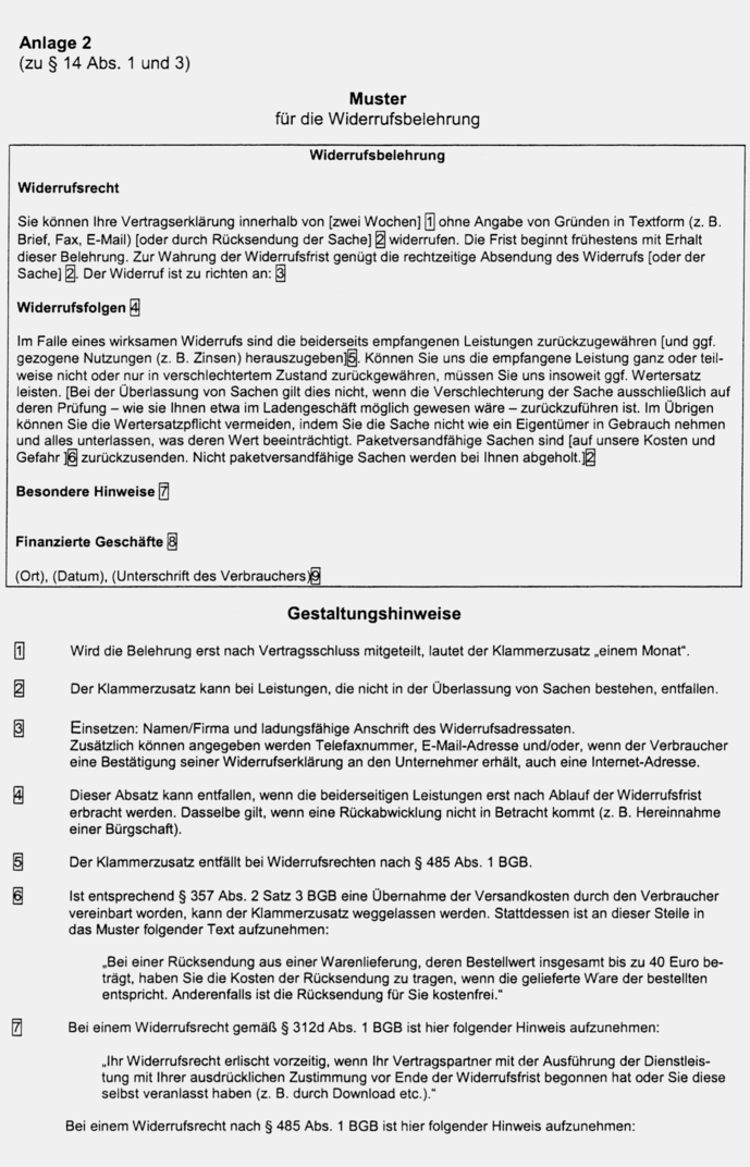
§ 14 Form der Widerrufs- und Rückgabebelehrung, Verwendung eines Musters
Abschnitt 6 – Schlussvorschriften
§ 15 Überleitungsregelung für das Muster nach § 9
§ 16




- 1
- 1)Die nachfolgenden Vorschriften dieser Verordnung dienen der Umsetzung folgender Richtlinien:
- 1. § 1: Richtlinie 97/7/EG des Europäischen Parlaments und des Rates vom 20. Mai 1997 über den Verbraucherschutz bei Vertragsabschlüssen im Fernabsatz (ABI. EG Nr. L 144 S. 19),
Der Inhalt dieses Beitrags ist nicht frei verfügbar.
Für Abonnenten ist der Zugang zu Aufsätzen und Rechtsprechung frei.
Sollten Sie über kein Abonnement verfügen, können Sie den gewünschten Beitrag trotzdem kostenpflichtig erwerben:
Erwerben Sie den gewünschten Beitrag kostenpflichtig per Rechnung.
Erwerben Sie den gewünschten Beitrag kostenpflichtig mit PayPal.
