ZVI 2010, 443
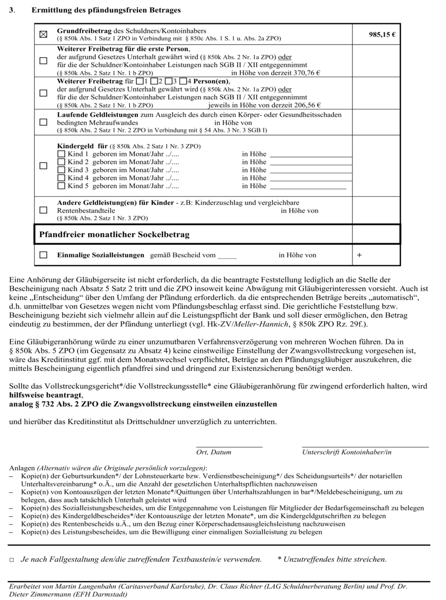
Formulierungshilfe für einen Antrag nach § 850k Abs. 5 Satz 4 ZPO
ZVI 2010, 444
Der Inhalt dieses Beitrags ist nicht frei verfügbar.
Für Abonnenten ist der Zugang zu Aufsätzen und Rechtsprechung frei.
Sollten Sie über kein Abonnement verfügen, können Sie den gewünschten Beitrag trotzdem kostenpflichtig erwerben:
Erwerben Sie den gewünschten Beitrag kostenpflichtig per Rechnung.
Erwerben Sie den gewünschten Beitrag kostenpflichtig mit PayPal.
